激光雷達傳感器目標檢測中SOTIF相關用例的不確定性表征
摘要
激光雷達傳感器目標檢測過程中的不確定性源于環境多變性和傳感器性能限制,對這些不確定性進行表征是保障SOTIF的關鍵,SOTIF的核心是預防自動駕駛場景中的危害事件。本文提出一套系統化方法,用于在SOTIF相關場景中識別、分類并表征激光雷達目標檢測的各類不確定性。研究采用登普斯特 - 謝弗理論(DST)構建識別框架(FoD)以表征檢測結果,結合已識別不確定性源之間的關聯性分配條件基本概率賦值(BPA),并運用耶格組合規則融合多源沖突證據,為評估不確定性對檢測精度的影響搭建結構化分析框架。本研究通過基于方差的敏感性分析(VBSA)對不確定性進行量化和優先級排序,詳細闡釋了各類不確定性對檢測性能的具體影響。
1、引言
ISO 21448 標準對SOTIF的定義為:解決自動駕駛系統(ADS)因功能缺陷引發的危險,尤其針對那些因預期功能規范不完善導致的風險。SOTIF強調識別并緩解此類缺陷相關風險,在運行參數未明確界定、環境復雜且不可預測的場景中,這一要求尤為重要。
自動駕駛的環境感知環節中,自動駕駛系統整合攝像頭、雷達、激光雷達等多種傳感器,并結合機器學習算法完成目標檢測與分類。激光雷達傳感器因能精準構建環境的三維表征,成為感知系統的核心部件。基于激光雷達數據的三維目標檢測流程包含數據采集、預處理(去除噪聲與無效點云)、分割(將處理后的點云聚類為潛在目標簇)、特征提取和分類,最后通過跟蹤算法跨幀監測已檢測目標,預測其未來位置。
然而,激光雷達傳感器的性能易受環境條件顯著影響,進而給目標檢測帶來不確定性。激光雷達光束的吸收、散射和折射現象會改變檢測距離、降低數據質量,是此類不確定性的主要誘因,這也要求機器學習模型具備有效處理不確定性的自適應能力。
不確定性可分為兩類:偶然不確定性和認知不確定性。偶然不確定性由環境的固有多變性產生,認知不確定性則源于系統模型的知識缺失或性能限制。為實現對這類不確定性的表征與管理,本文采用登普斯特 - 謝弗理論(DST)—— 這一數學框架擅長融合多源證據,在信息不完整或存在沖突的場景中表現出顯著優勢。
本研究選擇登普斯特 - 謝弗理論的原因在于,該理論無需依賴先驗概率即可靈活表征不確定性,而先驗概率在實際應用中往往難以確定和驗證。與貝葉斯方法不同,貝葉斯方法依賴可能存在偏差的先驗分布,登普斯特 - 謝弗理論可整合多源證據且無需強制輸出單一概率結果,因此在數據不可靠或相互矛盾的復雜系統中適用性更強。此外,該理論能夠同時表征不確定性與未知性,這一特性在證據不足以充分支撐任何假設的場景中至關重要。相較于貝葉斯概率、模糊邏輯和可能性理論,登普斯特 - 謝弗理論為不確定性表征提供了更具適應性的方法。
盡管登普斯特 - 謝弗理論存在計算復雜度高、難以處理高沖突證據等問題,但其融合多源異構信息的能力能夠實現對不確定性的精細化表征,這也成為該理論應用于提升自動駕駛系統可靠性研究的合理依據。
擴展證據網絡(EEN)將登普斯特 - 謝弗理論中的似然函數整合到傳統貝葉斯網絡中,可對偶然、認知和本體論三類不確定性進行建模與表征。該框架已被應用于高自動駕駛等級車輛感知功能的SOTIF相關案例研究,證實其能為模型優化、提升安全分析水平明確方向。本研究與現有研究的不同之處在于,將登普斯特 - 謝弗理論應用于激光雷達目標檢測,并重點結合敏感性分析制定基于該理論的不確定性緩解策略。
本文是前期研究的延伸,前期研究已在SOTIF相關場景中,評估了基于深度學習的激光雷達三維目標檢測方法的適應性和性能。本研究在前期基礎上,將登普斯特 - 謝弗理論針對性地應用于同一場景下激光雷達目標檢測的不確定性處理與管理,研究重點從性能評估轉向不確定性表征的詳細分析,最終目標是制定基于登普斯特 - 謝弗理論的靶向緩解策略。
1.1 主要研究貢獻
本文的主要研究貢獻總結如下:(1)提出一套系統化方法,用于在激光雷達目標檢測的SOTIF相關場景中,完成不確定性的識別、分類與表征;(2)結合SOTIF相關場景的案例研究,將登普斯特 - 謝弗理論應用于激光雷達目標檢測的不確定性表征。
1.2 研究問題
本文旨在解決以下兩個研究問題:研究問題 1:如何將登普斯特 - 謝弗理論應用于SOTIF相關用例中,實現激光雷達目標檢測不確定性的表征與管理?研究問題 2:登普斯特 - 謝弗理論如何助力激光雷達目標檢測中已識別不確定性的量化與優先級排序?在設定的SOTIF相關場景中,這些經優先級排序的不確定性對檢測精度有哪些具體影響?
1.3 文章結構
引言之后,本文結構安排如下:第 2 章闡述SOTIF相關用例中,激光雷達目標檢測不確定性的識別與表征方法;第 3 章將該方法應用于SOTIF相關用例,開展敏感性分析并制定緩解策略;最后,第 4 章總結研究成果并提出未來研究方向。
2、SOTIF相關用例的不確定性表征方法
本章提出SOTIF相關用例中,激光雷達目標檢測不確定性的識別與表征方法。如圖 1 所示,該方法的工作流程包括界定用例、分類不確定性源、應用登普斯特 - 謝弗理論表征不確定性,同時同步完成不確定性狀態定義與關聯性映射,確保綜合考慮所有影響因素。

圖1、SOTIF相關用例的不確定性表征工作流程
2.1 SOTIF相關用例與場景描述
本節描述的SOTIF相關用例及推導場景為:配備激光雷達的車輛在惡劣天氣條件下行駛于雙向單車道鄉村道路,場景示意圖如圖 2 所示,自車需在避讓騎行者的同時,應對對向車流和復雜天氣條件的挑戰。

圖2、SOTIF相關用例:惡劣天氣下自車與騎行者、對向卡車的交互場景
表 1 詳細列出了該用例的核心定義變量,包括道路類型、天氣條件、道路使用者等。
為系統化表征SOTIF相關要素,表 2 從觸發條件、性能缺陷、潛在危險行為三個維度,闡釋了從既定用例推導具體場景的過程。

表1、SOTIF相關用例變量的詳細描述

表2、SOTIF相關用例及推導場景的系統化描述
2.2 激光雷達目標檢測SOTIF相關用例的不確定性源
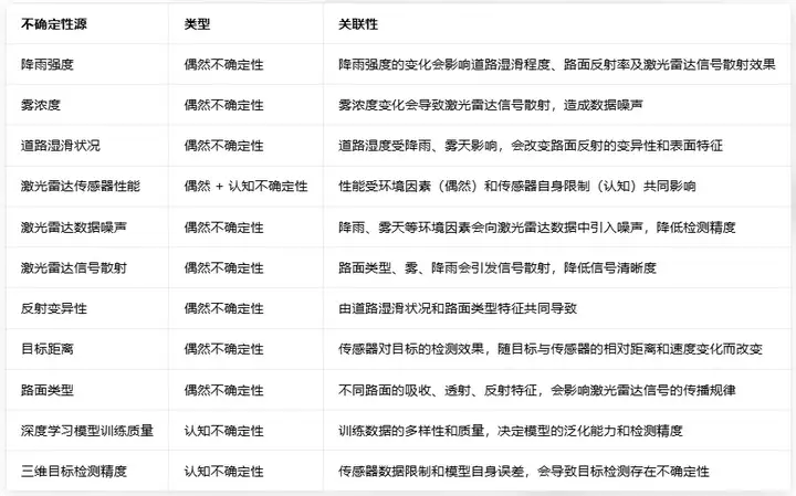
本節對激光雷達目標檢測的不確定性源進行識別與分類,明確區分偶然不確定性和認知不確定性(見表 3)。偶然不確定性由環境因素引發,包括降雨強度、霧濃度、道路濕滑狀況等,這些因素直接影響激光雷達傳感器的性能;認知不確定性源于系統自身限制,涵蓋傳感器在特定條件下的性能表現、數據噪聲、深度學習模型的訓練質量等,此類因素會影響目標檢測與分類的精度。

表3、激光雷達目標檢測的不確定性源分類
2.3 不確定性源間的關聯性表征
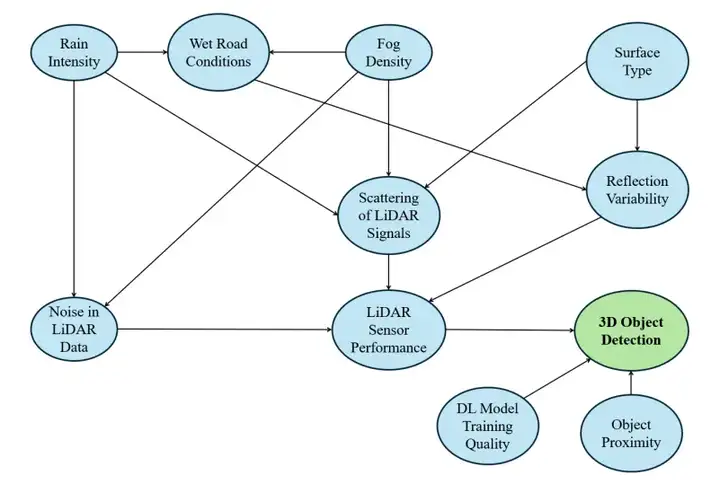
本研究采用有向無環圖(DAG,見圖 3)映射激光雷達目標檢測中各不確定性源的關聯性,直觀展示環境因素與系統因素如何共同作用影響檢測精度。有向無環圖中,每個節點代表一個特定的不確定性源,邊代表各源之間的條件關系,清晰呈現多因素協同作用對系統整體性能和決策過程的影響。
如圖 3 所示,降雨強度和霧濃度直接影響道路濕滑狀況,而道路濕滑狀況又會進一步影響反射變異性和激光雷達傳感器性能;路面類型同樣會對激光雷達信號散射和反射變異性產生作用。上述所有因素共同影響激光雷達傳感器性能,進而直接決定三維目標檢測的精度。此外,深度學習模型的訓練質量和目標距離也會影響目標檢測性能,決定系統對環境中目標的識別與分類能力。

圖3、SOTIF相關用例中,激光雷達目標檢測不確定性源的關聯性有向無環圖
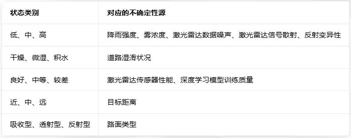
本研究將已識別的不確定性源劃分為不同狀態(見表 4),這些狀態代表各不確定性源可能出現的具體等級或條件。在下一章節中,將基于登普斯特 - 謝弗理論,為各不確定性源的不同狀態分配條件基本概率賦值,開展進一步分析。

表4、不確定性源的狀態分類
2.4 登普斯特 - 謝弗理論的構建
本研究將登普斯特 - 謝弗理論應用于激光雷達目標檢測的不確定性表征與管理,該理論的核心要素包括識別框架(FoD)、基本概率賦值(BPA)以及信任函數和似然函數,這些要素協同作用,為不確定性表征搭建結構化框架。
識別框架(FoD)
識別框架記為 Θ,代表系統中所有可能的結果或假設的集合,其中每個元素 θ?對應激光雷達目標檢測過程的一種潛在結果,其數學定義為:
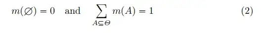
基本概率賦值(BPA)
基本概率賦值記為 m (A),用于為識別框架的每個子集 A?Θ 分配信任度,表征證據對該子集的支持程度,需滿足以下條件:

本研究中的基本概率賦值由仿真數據推導得出,可同時表征偶然不確定性和認知不確定性。
信任函數與似然函數
信任函數 Bel (A) 和似然函數 Pl (A) 分別為事件 A 的概率提供下界和上界,其中信任函數的定義為:

該函數代表基于現有證據,對事件 A 的最小信任度;似然函數的定義為:

該函數涵蓋所有不與事件 A 矛盾的證據。區間 [Bel (A), Pl (A)] 代表事件 A 真實概率的取值范圍,可同時容納確定性和不確定性。
登普斯特組合規則
登普斯特組合規則用于融合多源證據,對于識別框架的任意子集 C?Θ,融合后的基本概率賦值記為 m??(C),其計算公式為:

其中 K 為沖突系數,用于量化多源證據之間的沖突程度,計算公式為:

登普斯特組合規則可對沖突證據進行合理加權,融合后的基本概率賦值 m??(C) 代表基于多源證據對事件 C 的綜合信任度。
耶格修正組合規則
當多源證據存在顯著沖突時,采用登普斯特組合規則的耶格修正版本進行證據融合。該方法將沖突部分的信任度重新分配至識別框架全集 Θ,分配給全集 Θ 的修正信任度計算公式為:

該方法無需歸一化即可保留并處理沖突信息,在激光雷達目標檢測這類需要調和多源證據的復雜系統中適用性極強。本研究中,耶格組合規則被用于處理高沖突的多源證據。
3、SOTIF相關用例的方法應用
本章將登普斯特 - 謝弗理論應用于激光雷達目標檢測的SOTIF相關用例,具體工作流程如圖 4 所示,包括界定識別框架、根據不確定性源對檢測精度的影響進行分類、開展基于方差的敏感性分析、為影響最顯著的不確定性制定緩解措施。其中,識別框架界定檢測的可能結果,基本概率賦值根據不確定性源為各結果分配概率,二者是證據融合的必要輸入,結合耶格組合規則可實現沖突證據的消解。

圖4、登普斯特 - 謝弗理論在SOTIF相關用例中的應用流程
該并行流程使證據融合過程能夠同時考慮檢測假設及其對應的概率賦值,結合耶格組合規則可有效實現沖突消解。
3.1 識別框架的界定
本研究用例的識別框架包含激光雷達目標檢測的四種潛在結果,具體如下:
· θ?:檢測到騎行者
· θ?:檢測到卡車
· θ?:存在目標但未檢測到(漏檢 / 假陰性)
· θ?:無目標但檢測到目標(虛檢 / 假陽性)
上述結果構成識別框架 Θ={θ?,θ?,θ?,θ?},是分析各類不確定性對激光雷達目標檢測系統性能影響的基礎。其中,假陰性指實際存在目標但系統未檢測到,假陽性指實際無目標但系統錯誤檢測出目標。
3.2 條件基本概率賦值的分配
本研究根據各不確定性源之間的關聯性(見圖 5)分配條件基本概率賦值,不確定性源集合記為 S={S?,S?,...,S?}(見表 3),各源對應的狀態記為 X?(見表 4)。對于每個檢測結果 Θ={θ?,θ?,θ?,θ?},根據各不確定性源狀態 x∈X?的關聯性生成條件基本概率賦值 m (x),并進行歸一化處理,滿足∑?Θm (A)=1。

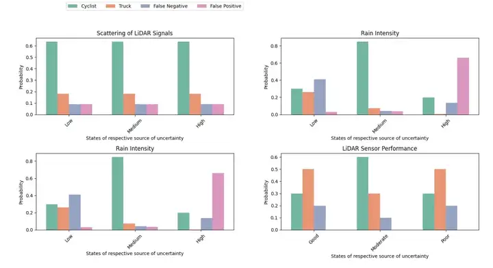
圖5、不同不確定性源下,檢測結果的條件概率分布
為實現針對性分析,圖 5 僅展示了部分不確定性源,若納入所有不確定性源,會造成信息重復且無新的研究發現。分析結果揭示了不確定性之間的條件關聯性,明確了環境條件對目標檢測結果的影響規律。
降雨強度升高會導致假陽性概率顯著上升,反映出傳感器在暴雨等惡劣天氣下性能下降;與之不同,霧濃度在各狀態下的假陽性概率相對穩定,但對騎行者和卡車的檢測結果波動性更大,說明傳感器在霧天環境下的可靠性降低;同理,激光雷達信號散射程度越高,假陰性概率越大,表明環境因素導致的信號畸變會降低騎行者、卡車等目標的檢測精度。
3.3 基于耶格組合規則的基本概率賦值融合及信任、似然函數計算
本研究運用耶格組合規則融合不同不確定性源的基本概率賦值,尤其適用于證據存在沖突的場景。當不同來源的證據對同一結果的支持程度存在差異時,直接融合易產生偏差,即形成證據沖突。耶格組合規則將沖突部分的信任度重新分配至識別框架全集,避免單一結果受沖突證據的過度影響。
圖 6 展示了不同不確定性源對各檢測結果信任函數和似然函數值的影響規律,若某結果的似然函數值顯著高于信任函數值,說明該結果在多種場景下均有可能出現,但系統對其檢測結果的確定性較低。

圖6、不同不確定性源下,檢測結果的信任函數與似然函數值
對于騎行者檢測結果,反射變異性和降雨強度對應的似然函數值顯著高于信任函數值,說明系統僅能在特定條件下檢測到騎行者,且檢測精度的置信度較低;對于卡車檢測結果,反射變異性和激光雷達傳感器性能是惡劣條件下降低檢測置信度的關鍵因素。其他檢測結果也呈現相似規律,為避免信息冗余,本文僅展示騎行者和卡車的檢測結果。
3.4 不確定性源的影響程度分級
本研究通過計算似然函數值與信任函數值的差值,對各不確定性源進行分類,對于識別框架的任意子集 A?Θ,差值記為 U (A)=Pl (A)-Bel (A),該指標用于量化各不確定性源的影響程度。根據不確定性值的分布特征,將影響程度劃分為低、中、高三個等級。
本研究以所有不確定性源最大不確定性值的 25% 和 75% 分位數為閾值,設定 τ?=0.2、τ?=0.5:U (A)<τ?的不確定性源為低影響等級,τ?≤U (A)<τ?的為中影響等級,U (A)≥τ?的為高影響等級。該閾值劃分方式可有效實現不確定性分布的分層,具體分級結果見表 5。

表5、不確定性源對檢測變異性的影響程度分級
表 5 反映了各不確定性源對檢測性能的整體影響程度,表 4 則列出了各不確定性源的具體狀態(如低、中、高),這些狀態是判斷其整體影響程度的輸入依據。
3.5 基于方差的敏感性分析(VBSA)
在對不確定性源進行影響程度分級后,需進一步量化各源對檢測變異性的貢獻度。本研究采用基于方差的敏感性分析,評估輸入不確定性的變化對整體檢測性能的影響,該方法在多因素相互關聯的系統中表現出顯著優勢。
本次分析聚焦于各不確定性源,評估其在不同環境條件下對檢測精度的影響。基于方差的敏感性分析將性能的總方差系統分配至各不確定性源,可清晰揭示各源之間的交互作用,有助于識別對性能變異性影響最大的不確定性源,這對不確定性管理和系統可靠性提升至關重要。
各不確定性源 S?的方差計算公式為:

通過計算各不確定性源 S?的方差,可確定信任函數和似然函數值在不同條件下的波動程度,對比各方差值即可識別對系統變異性貢獻最大的不確定性源。
如圖 7 所示,基于方差的敏感性分析結果表明,激光雷達信號散射和降雨強度在惡劣環境條件下,會導致檢測性能產生最大方差;道路濕滑狀況和激光雷達傳感器性能也是影響性能變異性的重要因素。

圖7、信任函數與似然函數的基于方差敏感性分析結果
3.6 關鍵不確定性的緩解措施
基于基于方差的敏感性分析結果,本研究為對激光雷達目標檢測系統性能有顯著影響的不確定性制定針對性緩解措施,建議聚焦于降低檢測變異性、提升系統在不同運行環境中的魯棒性,具體如下:(1)開發激光雷達目標檢測自適應算法,使其能夠根據降雨強度、霧濃度等天氣條件動態調整,提升惡劣環境下的檢測精度;(2)應用噪聲抑制技術,減少環境干擾對激光雷達數據的影響,改善系統在惡劣條件下的檢測性能;(3)擴充深度學習模型的訓練數據集,加入極端天氣條件的仿真數據,提升模型的泛化能力,保證其在不同真實場景中的檢測精度。
上述措施直接針對登普斯特 - 謝弗理論框架和基于方差的敏感性分析識別出的關鍵不確定性,具備較強的針對性和實用性。
4、結論與未來研究方向
本文研究了登普斯特 - 謝弗理論在SOTIF相關用例中,激光雷達目標檢測不確定性處理的應用方法。針對第一個研究問題,本研究界定了SOTIF相關用例,識別了相關不確定性源,并應用登普斯特 - 謝弗理論完成不確定性建模:通過識別框架對檢測結果進行建模,結合現有證據計算基本概率賦值,運用耶格組合規則消解多源證據的沖突,實現了對不確定性的結構化、客觀表征。
針對第二個研究問題,本研究基于各不確定性源對檢測性能的影響,完成了量化分析和優先級排序:通過信任函數和似然函數對不確定性源按檢測精度影響程度分類,結合基于方差的敏感性分析進一步量化了各源的貢獻度。分析結果表明,降雨強度、路面類型、激光雷達傳感器性能等環境因素對檢測變異性的影響最為顯著。
本研究針對已識別的關鍵不確定性提出了緩解措施,重點在于提升激光雷達傳感器在惡劣天氣下的性能,以及擴充包含極端天氣場景的訓練數據集,旨在通過解決核心的環境和傳感器限制問題,提升系統可靠性。
本研究也存在一定局限性:第一,基本概率賦值的分配存在主觀性,可能引入偏差;第二,本次分析為靜態分析,未捕捉時間動態特征,而該特征對動態環境中的實時決策至關重要;第三,研究結論受初始假設和登普斯特 - 謝弗理論中組合規則選擇的影響較大。
未來的研究可將本次靜態分析拓展為動態框架,跟蹤車輛與環境交互過程中不確定性的傳播規律。對傳感器性能、環境條件、目標距離等不確定性的演化過程進行建模,能夠提升自動駕駛系統實時決策和風險評估的能力。此外,在不同駕駛場景中探索不確定性的傳播規律,將登普斯特 - 謝弗理論與隱馬爾可夫模型、貝葉斯網絡等時間模型相結合,可能會挖掘出更多關于系統行為的規律。同時,可開展仿真研究,將不確定性模型的預測結果與真實世界數據對比驗證,進而開發更高效的不確定性管理技術。

(添加微信號NewCarRen咨詢)
